Home / Microfluidic calculator
Microfluidicists tools

FLOW RATE calculator

To help you choose the perfect instrument calibrated for your needs, Elveflow provides a microfluidic calculator. This will help you determine your flow rate, pressure to apply, the best tubing resistance length for your setup, wall shear stress for biology applications, cell culture, and many more. This calculator is a tool that provides an initial indication but cannot replace expert advice. Resistance may be underestimated, and we recommend that you contact us for a more detailed diagnosis.

 

 

microfluidic calculator setup step by step calculations high resolution elveflow microfluidics

 

Pressure, Flow Rate and Shear Stress Calculator

To size a microfluidic system, it’s necessary to match the microfluidic resistance and pressure to the desired fluid flow rate or shear stress. Two different microfluidic resistances are important: the resistance of the fluidic path, i.e. tubings, fittings, instrument or sensor in line, and the resistance of the chip itself. Fluid properties are also a parameter to be taken into account.

 

Why is flow rate monitoring important in a microfluidic system? 

Flow rate can be defined as the volume of solution that flows through the cross-section of the channel during one time unit. The flow rate influences the volume of solution needed for the experiment, but also the dynamics of the system, such as diffusion, particle speed, or the flow regime.

 

Why do I need to calculate the shear stress in a microfluidic system? 

Shear stress in microfluidics is defined as the component of stress created by fluid friction in the microchannels. Shear stress is an important parameter, especially in biological studies. Forces are everywhere in the body and cells sense these forces. It can trigger signalling cascades that can result in different gene expression or gene silencing. Forces govern cell fate and function and it is directly related to the flow rate.

Shear stress is induced by fluid flow over a stationary phase, which creates a frictional force between the fluid layer and the solid. Shear stress are forces applied tangentially  to the surface and defined as:

Shear stress schema
For example, shear stress is studied a lot in hemodynamics, the flow of blood. When blood flows through vessels, it exerts pressure on the vessels walls, in particular on the endothelial cells covering the inner part of the blood vessels. In dynamic cell culture, shear stress is then a particularly important parameter. As mentioned before, it is closely linked to the flow rate with the fundamental formula: Navier-Stokes equation (demonstrated here).

In microfluidics, viscous forces predominate over inertial forces, leading to laminar flow. By simplifying the Navier-Stokes equation and assuming that the flow is laminar, we can say that the flow is steady and unidirectional. This assumption leads to the Stokes equation that can be resolved using the geometry of the channel. 

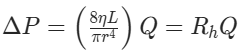
In a circular channel, we get the final Hagen-Poiseuille equation:

Hagen equation

where ΔP is the pressure drop, Q the flow rate (m³/s). R is the hydraulic resistance of the channel, it can be calculated from the dynamic viscosity of the fluid (𝜂 in Pa.s) and the channel shape and dimensions (r is the radius of a circular channel and L the length in m).

In the case of a very wide rectangular channel (or parallel plates), where a>>b (with a being the width of the channel and b the height), the simplified equation is:

Formule for flow rate calculator

 

 


How to measure flow rate and resistance? 

  • To measure flow rate accurately in microfluidic systems, Elveflow offers two complementary flow sensor technologies: the Microfluidic Flow Sensor (MFS) and the Bronkhorst Flow Sensor (BFS). Both sensors integrate seamlessly with the OB1 pressure controller, allowing real-time feedback control and ensuring consistent, reproducible flow conditions in your microfluidic experiments.
    • The MFS uses thermal mass flow sensing to provide ultra-fast and precise liquid flow measurements down to the nanoliter-per-minute range, ideal for monitoring small-volume experiments and rapid flow changes.
    • The BFS, based on the Coriolis principle, directly measures the mass flow rate by detecting the phase shift of a vibrating tube as fluid passes through it, making the measurement independent of fluid properties such as viscosity, density, or temperature.
  • Resistance can not be measured but needs to be calculated (find the full application note here). Either done knowing the geometry of the microfluidic path or by using the Hagen-Poiseuille equation, knowing the pressure and the flow rate in the system.

 

Why use pressure-driven flow control with Elveflow pressure controller and flow sensor?

Using pressure-driven flow control with the Elveflow OB1 pressure controller and MFS or BFS flow sensor offers the most accurate and responsive way to generate and monitor flow rates in microfluidic systems. Unlike syringe or peristaltic pumps, pressure-driven systems ensure stable, pulse-free flow even at extremely low flow rates. The OB1, when paired with the MFS or BFS flow sensor and controlled through the Elveflow Smart Interface (ESI) software, allows users to monitor and adjust flow rate in real time with exceptional precision.

To select the optimal OB1 pressure range, it is essential to first define the target flow rate and estimate the corresponding pressure drop, which depends on the fluidic resistance of your system. This resistance is determined by the geometry of the microfluidic chip and tubing, as well as the fluid properties (see the formulas above). In simple configuration as one inlet one outlet design, by calculating and comparing the contributions of the chip and tubing, you can identify the dominant resistance and refine your system parameters.

Our calculator helps users determine the pressure, flow rate, and shear stress required to achieve their desired experimental conditions. As a result, it gives an initial indication of the working pressure and flow rate and select the most suitable OB1 pressure controller or flow sensor for their specific microfluidic setup.

Before using the calculator, a few parameters should be defined:

  • Know the dimensions and design of your microfluidic chip.
  • Determine whether the tubing resistance is negligible compared to the device resistance.
  • Identify at least one experimental parameter, either the desired flow rate, pressure, or shear stress.

Once these inputs are provided, the calculator will estimate the corresponding pressure range, flow rate, and shear stress. We hope this tool helps you better understand these key concepts and simplifies the selection of your Elveflow system. For any questions or personalized guidance, feel free to contact our team.

Let’s use the flow rate calculator

This calculator is made of four parts. 

In Part 1, input fluid properties like viscosity and density. The more viscous the fluid, the greater the pressure to be applied for a given flow rate. 

Part 2 is not mandatory, you can use it to calculate the hydraulic resistance inside tubings based on their length, and inner diameter.

Part 3 focuses on your microfluidic chip (PDMS, glass, polymers…). You can describe the channel geometry in a section of the chip, to give its resistance and shear stress. You can use it as a reverse tool if you have a specific shear stress value and want to know the best flow rate to apply.

Part 4 gives results and recommendations to help you choose the perfect flow sensor and pressure controller, and advice to improve flow stability with microfluidic resistance length and diameter. Test it! These values are provided for informational purposes only. If you have any questions, please contact our experts

To make the most of our microfluidic calculator, find below a set of dedicated application notes:

Part 1: Fluid properties

Describe the fluid inside your reservoir. Chose predetermined fluid or custom density and viscosity:

Density: Kg/m3
Viscosity: Pa.s

Part 2: Tubing resistance (optional)

Negligible tubing resistance

High tubing resistance

Part 3: Channel geometry inside the chip

Describe channel geometry inside your microfluidic chip:

Cylindrical channel

Cylindrical channel*

Rectangular channel

Rectangular channel*

Part 4: Calculations

Select one information and fill your data to start calculations. Press enter to start and refresh calculations:

Flow rate fixed (µL/min)

Pressure fixed (mBar)

Shear stress at wall τ fixed (dyn/cm2)

Calculator results

Main results:
Flow rate: µL/min
Pressure: mBar
Wall shear stress τ: dyn/cm2
Reynolds number:
Flow state:
Flow velocity: mm/s
In the channel:
Total volume: µL
Hydraulic resistance: Pa.s/m3
In the tubing:
Hydraulic resistance: Pa.s/m3
Advice:
Tubing resistance to reach 100 mBar:
Tubing Inner Diameter Tubing Length
50 µm cm
65 µm cm
100 µm cm
250 µm cm

Test it in Part 2 tubing resistance

Best flow sensor range suited:
Flow sensor type Reference Range
MFS Thermal flow sensor MFS1 75 nL/min to 1.5 µL/min
MFS Thermal flow sensor MFS2 420 nL/min to 7 µL/min
MFS Thermal flow sensor MFS3 2.4 µL/min to 80 µL/min
MFS Thermal flow sensor MFS4 40 µL/min to 1 mL/min
MFS Thermal flow sensor MFS5 200 µL/min to 5 mL/min
BFS Coriolis flow sensor BFS1 1.6 µL/min to 3.3 mL/min
BFS Coriolis flow sensor BFS2 16.6 µL/min to 33.3 mL/min
BFS Coriolis flow sensor BFS3 500 µL/min to 500 mL/min
Best pressure-based flow controller range:
Flow controller Pressure range
OB1 MK3+ pressure controller -900 to 1000 mBar
OB1 MK3+ pressure controller 0 to 200 mBar
OB1 MK3+ pressure controller 0 to 2000 mBar
OB1 MK3+ pressure controller 0 to 8000 mBar

Save your data, send it to your own inbox

save your calculations by email

    Add your email adress to receive the results:

    Microfluidic newsletter subscription

    Calculator made by Kalyan VEERENDRA, Julien RIDOUARD, Jessica AYACHE, Lisa MUIZNIEKS and Marie GEMEY. Contact Elveflow team at contact@elveflow.com

    Read more about the calculator: Viscosity conversion, Flow rate & shear stress calculations, How to calculate flow rate with microfluidics.

    Need to convert units?

    Microfluidics unit conversion tool:

    Viscosity converter

    =

    Length converter

    =

    Pressure & shear stress converter

    =

    Flow rate converter

    =
    Contact
    How can we help you?
    Quoteor technical request Job application Job
    application
    Collaboration or partnerships Collaborations
    or partnerships
    Customer support Customer
    support
    Others questions Other

      For more information or Technical discussion

      Contacting for
      a job application?
      We are happy that you are interested in Elveflow. You can apply to our open jobs or send us your open application on WelcomeToTheJungle. Over here!

        For more information or Technical discussion

          Need customer support?







          I hereby agree that Elveflow uses my personal data

            For more information or Technical discussion