Published on 06 March 2026
Real-Time Fluorescence Analysis of Mixing in a Tesla Micromixer
Summary
This study characterizes the mixing performance of a Tesla-type passive micromixer (Fluidic 1677) using real-time fluorescence analysis under pressure-driven flow control. By examining the interaction between distilled water and Sulforhodamine B across various flow rates and ratios, the research demonstrates that mixing develops cumulatively through 20 sequential Tesla units. Under the investigated low-Reynolds-number conditions ($Re < 6$), the device operates in a diffusion-dominated regime where increasing the flow rate actually decreases mixing efficiency due to reduced residence time. The results highlight that while the Tesla geometry effectively reorients flow, achieving optimal homogenization in laminar microfluidics requires precise balancing of the inlet flow-rate ratio and total flow velocity to maximize interfacial contact and molecular diffusion.
Table of Contents
Introduction
Efficient mixing in microfluidic-based biochemical analysis systems remains a major challenge due to the low Reynolds numbers characteristic of microscale flows, which result in laminar, diffusion-dominated transport and inherently slow mixing [1,2]. To address this limitation, active micromixers have been developed to enhance mixing by introducing external energy into the system through mechanisms such as acoustic actuation (ultrasonic or bubble-induced), magnetic stirring, thermal gradients, or electric fields. Although these approaches can significantly accelerate mixing, they generally require additional components, complex control schemes, and continuous energy input, which increase fabrication complexity and cost and limit their compatibility with planar integration and disposable microfluidic platforms [1-3].
Passive Micromixers in Microfluidics
In contrast, passive micromixers achieve mixing without external actuation by exploiting geometric modifications of microchannels to manipulate fluid flow under laminar conditions. Mixing is enhanced through mechanisms such as stream splitting and recombination, increased interfacial area, and the generation of secondary flows, for example by dividing one fluid into multiple substreams that are subsequently recombined with another fluid to produce strong local interactions. Owing to their simple structure, low cost, and ease of integration, passive micromixers are particularly well suited for lab-on-a-chip and µTAS applications [1-5].
Passive micromixers can be further classified according to the dimensionality of the flow perturbations involved, namely:
- one-dimensional (1D)
- two-dimensional (2D),
- three-dimensional (3D) mixers [4].
In 1D passive mixers, such as hydrodynamic flow focusing in straight microchannels, fluids flow side by side under laminar conditions and mixing is governed primarily by molecular diffusion, resulting in limited mixing efficiency. 2D passive micromixers improve this by introducing in-plane geometric features, such as serpentine channels and split-and-recombine structures that enhance mixing through interface stretching, flow reorientation, and the generation of secondary in-plane flows. More recently, 3D passive micromixers have been developed to further intensify mixing by exploiting out-of-plane flow components, leading to stronger vortical structures and chaotic advection. While these 3D designs offer improved mixing performance, their scalability and integration remain constrained by fabrication complexity [4,5].
Building on this background, the present study focuses on the characterization of mixing in a Tesla-type passive micromixer (Fluidic 1677, microfluidic ChipShop) using fluorescence-based measurements. Specifically, mixing between Distilled water and Sulforhodamine B (SB) is investigated over a range of flow rates to assess the mixing efficiency under well-controlled hydrodynamic conditions.
Experiments are conducted using a pressure-driven flow control system (OB1 MK4, Elveflow) coupled with high-precision flow sensors (MFSD, Elveflow), which provides fast dynamic response, high pressure stability, and accurate flow-rate regulation. Pressure-based actuation enables rapid and reproducible changes in operating conditions while maintaining stable inlet pressures and steady flow rates over time. Real-time flow monitoring further ensures precise control of inlet flow conditions, which is critical for quantitative fluorescence-based mixing analysis, where transient fluctuations in pressure or flow rate can significantly impact concentration fields and measured mixing metrics.
APPLICATION
Tesla-type microfluidic structures are increasingly employed as passive mixing elements in a broad range of microfluidic systems, where they provide robust flow control and efficient mixing without moving parts or external actuation.
- Lab-on-a-chip and bioanalytical devices
- On-chip mixing of buffers, dyes, and reagents for biochemical assays and fluorescence-based detection
- Integration into sample-preparation and labeling modules in compact diagnostic platforms and chemosensors
- Biotechnology and bio-assays
- Mixing of biological reagents and antibodies for immunofluorescence and other cell-based assays
- Nanoparticles and microparticles formulation
- Microfluidic synthesis of nanoparticles with improved size control and distribution
- Mixing of viscoelastic and complex solutions for nanomaterial preparation
- Chemical synthesis and continuous-flow processes
- Passive mixing in continuous-flow reactions over a wide range of Reynolds numbers
- Use of multistage or optimized Tesla-inspired micromixers as generic mixing units in chemical microreactors
- Extended fluidic functions beyond mixing
- Implementation in fuel cells, thermal management channels, and modular microfluidic building blocks where unidirectional or structured flow is advantageous
Tesla Micromixer Setup
The experimental setup relies on a pressure-driven flow control system to ensure stable and reproducible microfluidic operation. Pressurized air, from an air compressor (Jun Air, Elveflow) or a central compressed air supply,regulated by an OB1 pressure controller (Elveflow), is used to drive distilled water and a Sulforhodamine B (1 mM) solution from separate reservoirs into the microfluidic circuit. The inlet flow rates are monitored in real time using inline flow sensors (MFSD, Elveflow), and fluidic resistances are introduced downstream to stabilize the flow.
The two streams are introduced into a Tesla-type passive micromixer (Fluidic 1677, microfluidic ChipShop), where mixing occurs through geometry-induced flow reorientation and transverse dispersion. Mixing performance is characterized directly on-chip by fluorescence microscopy at selected locations along the micromixer.
Materials
Hardware
- OB1 pressure controller from Elveflow
- Two digital flow sensors : 2 MFS3 (2 – 80 µL/min)*
- Microfluidic chip : Fluidic 1677 (microfluidic ChipShop, material : PC)
- Fluidic resistances (65µm and 175µm ID PEEK tubing)
- Mini Luer connectors (Fluidic 1579, microfluidic ChipShop)
- Air compressor
- Two Falcon S reservoirs (15mL) on an Elveflow holder rack
- Kit fittings starter pack from Elveflow (tubings & fittings)
- Microscope
Chemicals
- Distilled water
- Sulforhodamine B solution (prepared in distilled water)
Design of the chip
The Fluidic 1677 is a microfluidic mixing device based on the Tesla mixer principle, integrating two distinct channels dimensions on a single chip, with two replicated mixer units per geometry.
Each geometry consists of 20 sequential Tesla mixing elements, forming an extended passive mixing section. The wide design is characterized by Tesla cells with a nominal lateral dimension of 929 ± 11 µm, whereas the compact design employs Tesla cells with a reduced characteristic width of 690 ± 4 µm. The corresponding total lengths of the Tesla mixing sections are 19 mm and 14 mm, respectively.
All experiments were performed using the wide design of the Tesla micromixer.
| Specifications for the wide design | |
Main channel width (µm) | 300 |
Narrow neck width (µm) | 80 |
Channel height (µm) | 50 |
Tesla mixing section length (mm) | 19 |
Number of Tesla units | 20 |
Quick Start Guide
Instrument Connection
- Connect your OB1 pressure controller to an external pressure supply using PU 6mm OD pneumatic tubing, and to a computer using a USB cable. For detailed instructions on OB1 pressure controller setup, please read the “OB1 User Guide”.
- Connect the MFS flow sensors to the OB1. For details refer to “MFS user guide”.
- Turn on the OB1 by pressing the power switch.
- Launch the Elveflow software. The Elveflow Smart Interface’s main features and options are covered in the “ESI User Guide”. Please refer to the guide for a detailed description.
- Press Add instrument \ choose OB1, give a name to the instrument and press OK to save changes. Your OB1 should now be on the list of recognized devices.
- OB1 calibration is required for the first use. Please refer to the “OB1 User Guide” to calibrate your instrument.
- Add the flow sensors: press Add sensor \ select flow sensor \ analog or digital (choose the working range of flow rate for the sensor if you have an analog one), give a name to the sensor, select to which device and channel the sensor is connected and press OK to save the changes. Your flow sensor should be on the list of recognized devices. For details refer to “MFS user guide”.
- Open the OB1 window.
Setup Preparation for fluorescence analysis of mixing in a Tesla Micromixer
- Fill the first reservoir with distilled water, and the second reservoir with the SB solution.
- Connect the two reservoirs to OB1 using pneumatic tubing (PU 4mm OD). Ensure that anti-backflow filters are installed on the pneumatic lines to avoid damaging the OB1 pressure controller.
- Connect both reservoirs using 1/16″ OD PTFE tubing to the inlet of the MFSD3 respectively. Ensure that the 6-40 connectors are firmly held while tightening the 1/4-28 fitting to prevent any damage.
- Add microfluidic resistances to work within the desired flow-rate ranges. For more details on fine-tuning the microfluidic resistance, please refer to the dedicated application note.
Priming and flow rate stabilization
- Fit Mini Luer connectors on the microfluidic chip to prevent any flow disturbance during the experiment.
- Remove air from all the tubings by applying a low pressure before connecting them to the microfluidic chip. At this step, the tubings are not connected to the microfluidic chip to avoid introducing air bubbles.
- In the ESI software, switch the OB1 to sensor control mode and set the flow rate to 30 µL/min (as an example) for each inlet. Adjust the PID flow control parameters in ESI to fine-tune the sensitivity and responsiveness of the flow feedback loop. For further details, refer to the dedicated application note.
- Attach both tubes to the Tesla mixer chip’s inlet using the mini Luer connectors. You can now start your experiment!
Results
Mixing regimes
Mixing in planar Tesla micromixers occurs in the laminar regime and results from the balance between molecular diffusion and geometry-induced convective effects. Modified Tesla structures have been shown to exhibit a diffusion-dominated regime at low flow rates and a convection-assisted regime at higher Reynolds numbers, where transverse dispersion and flow deflection enhance mixing without transition to turbulence [1]. In this study, the Reynolds number (Re) is defined as :
![]()
where Qtot is the total volumetric flow rate in the mixing channel, A the channel cross-section, and Dh the hydraulic diameter of the rectangular channel, ⍴ the density and µ the viscosity. The residence time (tRES) in the Tesla mixing section is calculated as

Where L is the mixing zone length.
Even at low Reynolds numbers, Tesla geometries promote interface stretching and reorientation, while increasing Reynolds number amplifies inertia-assisted transverse transport (flow deflection and secondary vortical structures), and may lead to chaotic-advection-like stretching at sufficiently high Reynolds numbers depending on the geometry[3]. In addition to Reynolds number, varying the inlet flow-rate ratio provides a complementary handle to modulate interface position, diffusion length, and residence time distribution, enabling a more comprehensive exploration of mixing mechanisms in 2D Tesla micromixers. Based on these considerations, the experimental conditions investigated in this study, spanning multiple Reynolds numbers and inlet flow-rate ratios, are summarized in the following table :
Flow rate SB (1mM in distilled water) / Distilled water (µL/min) | SB : water ratio | Total flow rate (µL/min) | Re SB | Re water (per lateral branch) | Re mixing | t RES (s) |
| 1/2 | 1:2 | 3 | 0.1 | 0.1 | 0.3 | 5.7 |
| 2/2 | 1:1 | 4 | 0.2 | 0.1 | 0.4 | 4.28 |
| 2/4 | 1:2 | 6 | 0.2 | 0.2 | 0.6 | 2.85 |
| 5/5 | 1:1 | 10 | 0.5 | 0.25 | 1 | 1.71 |
| 5/10 | 1:2 | 15 | 0.5 | 0.5 | 1.5 | 1.14 |
| 5/20 | 1:4 | 25 | 0.5 | 1 | 2.5 | 0.684 |
| 10/20 | 1:2 | 30 | 1 | 1 | 3 | 0.57 |
| 10/10 | 1:1 | 20 | 1 | 0.5 | 2 | 0.855 |
| 30/30 | 1:1 | 60 | 3 | 1.5 | 6 | 0.285 |
| 20/10 | 2:1 | 30 | 2 | 0.5 | 3 | 0.57 |
| 30/10 | 3:1 | 40 | 3 | 0.5 | 4 | 0.428 |
| 40/10 | 4:1 | 50 | 4 | 0.5 | 5 | 0.342 |
Mixing performance
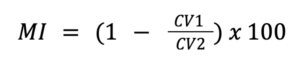
The mixing efficiency was quantified using a mixing index (MI) defined as :
![]()
where CV₁ is the coefficient of variation of the fluorescence intensity measured in selected regions along the Tesla micromixer, and CV₂ is the coefficient of variation corresponding to the unmixed reference state, measured at the junction.
The mixing performance of the planar Tesla micromixer was evaluated by calculating the mixing index (MI) at four characteristic locations along the device: after the first Tesla unit, at the midpoint of the mixing section (unit 10)), at the end of the Tesla structure (unit 20), and in the outlet channel downstream of the mixer. This spatially resolved analysis enables the progressive development of mixing along the Tesla geometry to be quantified under the different operating conditions listed, and provides insight into the respective roles of flow rate, residence time, and inlet flow-rate ratio on mixing evolution throughout the device.
Spatial evolution of mixing along the Tesla micromixer
For all conditions, the mixing index increases progressively along the Tesla micromixer, confirming that mixing develops cumulatively through successive Tesla units. At lower and intermediate total flow rates, mixing rises rapidly and reaches high values near the end of the Tesla structure and in the outlet channel. In contrast, at the highest investigated flow rate, the increase in mixing is more gradual and the final mixing index remains lower, highlighting the role of residence time in governing the efficiency of Tesla-induced mixing.
Mixing regimes and Reynolds number
When the mixing index is evaluated in the outlet channel, a decrease in the final mixing level is observed as the Reynolds number increases over the investigated range. This trend indicates that, within the present operating conditions, increasing the flow rate does not lead to improved mixing at the device outlet. Such behavior is characteristic of a low-Reynolds-number regime, where mixing remains largely governed by molecular diffusion and the time available for interfacial homogenization. As the Reynolds number increases, the residence time is reduced, which limits the extent of diffusive mixing achieved before the fluid exits the device, despite the presence of the Tesla mixing structures.
At lower flow rates, the fluorescence intensity appears more uniformly distributed across the channel cross-section, indicating a higher degree of mixing at this position. As the total flow rate increases, sharper concentration gradients and more distinct stream structures are observed, reflecting a reduced extent of mixing at the same axial location. These qualitative observations are consistent with the quantitative decrease in the mixing index measured at higher Reynolds numbers and illustrate the diffusion-limited nature of mixing within the explored operating regime.
In planar Tesla micromixers, a different behavior is typically reported at higher Reynolds numbers, where inertia-assisted mechanisms become more pronounced. In this regime, geometry-induced flow deflection, transverse velocity components, and enhanced interface stretching progressively dominate over diffusion, leading to an increase in mixing efficiency with Reynolds number. The present results therefore indicate that the operating conditions explored here remain below this inertia-dominated regime, and primarily probe the diffusion-limited mixing behavior of the Tesla geometry. Extending the Reynolds number range would be required to reach the regime in which the Tesla micromixer exhibits enhanced mixing performance driven by inertial effects.
Effect of flow rates ratio on mixing performance
At a fixed total flow rate of 30 µL/min, a clear difference in mixing performance is observed when varying the inlet flow-rate ratio. When the central Sulforhodamine B stream is injected at a lower relative flow rate (10/20, SB/Water = 1:2), the mixing index measured in the outlet channel reaches approximately 59%, whereas increasing the relative contribution of the central stream (20/10, SB/Water = 2:1) results in a higher mixing index of about 78%. This behavior indicates that the inlet flow-rate ratio significantly influences the final mixing state delivered by the device, even under identical global flow conditions.
In a planar Tesla micromixer, changing the ratio modifies the initial position, width, and symmetry of the fluid–fluid interface at the entrance of the structured region, which in turn affects the extent of interface deformation and transverse redistribution induced by the Tesla geometry. As a result, the effective diffusion length and the spatial development of mixing within the mixer are altered, leading to different mixing efficiencies at the outlet despite identical total flow rates.
Take-home message on Tesla Micromixers
This study demonstrates that mixing in a planar Tesla micromixer develops progressively along successive Tesla units, confirming the cumulative nature of the mixing process induced by the geometry. Within the investigated operating range, analysis of the mixing index measured in the outlet channel shows that:
- Increasing the Reynolds number does not improve the final mixing state
- The device operates in a low-Reynolds-number, diffusion-dominated regime
- At fixed total flow rate, variations in the inlet flow-rate ratio significantly affect the final mixing level, highlighting the importance of the initial flow configuration in laminar microfluidic mixing.
- At higher Reynolds numbers, inertia-assisted mechanisms are expected to become dominant, leading to enhanced mixing efficiency as reported in the literature.
Overall, these results provide practical guidelines for selecting operating conditions when using planar Tesla micromixers under low-Reynolds-number conditions. dolor sit amet, consectetur adipiscing elit. Ut elit tellus, luctus nec ullamcorper mattis, pulvinar dapibus leo.
Written by Amina Hamidou, PhD, and reviewed by Emeline Koopman and Louise Fournier, PhD. The Fluidic 1677 chip was provided by microfluidic ChipShop. For more content about microfluidics, you can have a look here.
References
[1] Hong, C. C., Choi, J. W., & Ahn, C. H. (2004). A novel in-plane passive microfluidic mixer with modified Tesla structures. In Lab on a Chip (Vol. 4, Issue 2, pp. 109–113). Royal Society of Chemistry.
[2] Li, J., Ma, B., Zhang, X., Zhao, Q., Sun, R., & Zhao, J. (2025). Design and optimization of Tesla micromixer with asymmetrical arrangement for efficient mixing in microfluidic chip. Chemical Engineering and Processing – Process Intensification, 209.
[3] Buglie, W. L. N., Tamrin, K. F., Sheikh, N. A., Yasin, M. F. M., & Mohamaddan, S. (2022). Enhanced Fluid Mixing Using a Reversed Multistage Tesla Micromixer. Chemical Engineering and Technology, 45(7), 1255–1263.
[4] Le, P. T., An, S. H., & Jeong, H. H. (2024). Microfluidic Tesla mixer with 3D obstructions to exceptionally improve the curcumin encapsulation of PLGA nanoparticles. Chemical Engineering Journal, 483.
[5] Guo, K., Chen, Y., Zhou, Z., Zhu, S., Ni, Z., & Xiang, N. (2022). A novel 3D Tesla valve micromixer for efficient mixing and chitosan nanoparticle production. Electrophoresis, 43(21–22), 2184–2194.
Microfluidics knowledge
Do you want tips on how to best set up your microfluidic experiment? Do you need inspiration or a different angle to take on your specific problem? Well, we probably have an application note just for you, feel free to check them out!
